Физики из МФТИ предложили «универсальный язык» для мира электричества
Ученые из МФТИ разработали и предложили новую систему единиц для электродинамики, способную объединить два главенствующих, но исторически несовместимых подхода. Эта компромиссная система, названная авторами физико-технической (ФТ), сочетает практическое удобство Международной системы единиц (СИ), используемой инженерами по всему миру, с теоретической стройностью и симметрией гауссовой системы (СГС), традиционной для физиков-теоретиков. Результаты исследования опубликованы в журнале «Современная электродинамика».
С момента, когда Джеймс Клерк Максвелл объединил законы электричества и магнетизма в середине XIX века, научное сообщество разделилось на два лагеря в вопросе: в какой системе единиц правильнее описывать электромагнитные явления.
Инженеры и экспериментаторы во всем мире используют систему СИ, где ключевые единицы — ампер, вольт, ом — напрямую связаны с измерениями и практическими устройствами. Эта система лежит в основе всей современной электротехники.
Физики-теоретики, напротив, традиционно предпочитают гауссову систему СГС (сантиметр–грамм–секунда). В ней фундаментальные уравнения Максвелла выглядят более симметрично и не содержат «лишних» констант. Такая форма уравнений нагляднее показывает, что электричество и магнетизм — проявления единого поля.
Этот «языковой барьер» создает трудности как в обучении, так и в научных коммуникациях. Студентам приходится осваивать два формализма: один для лабораторных расчетов, другой — для теоретических выкладок. Перевод между ними требует не просто пересчета чисел, а изменения самих уравнений. Это ведет к путанице и мешает сформировать цельное понимание физических процессов.
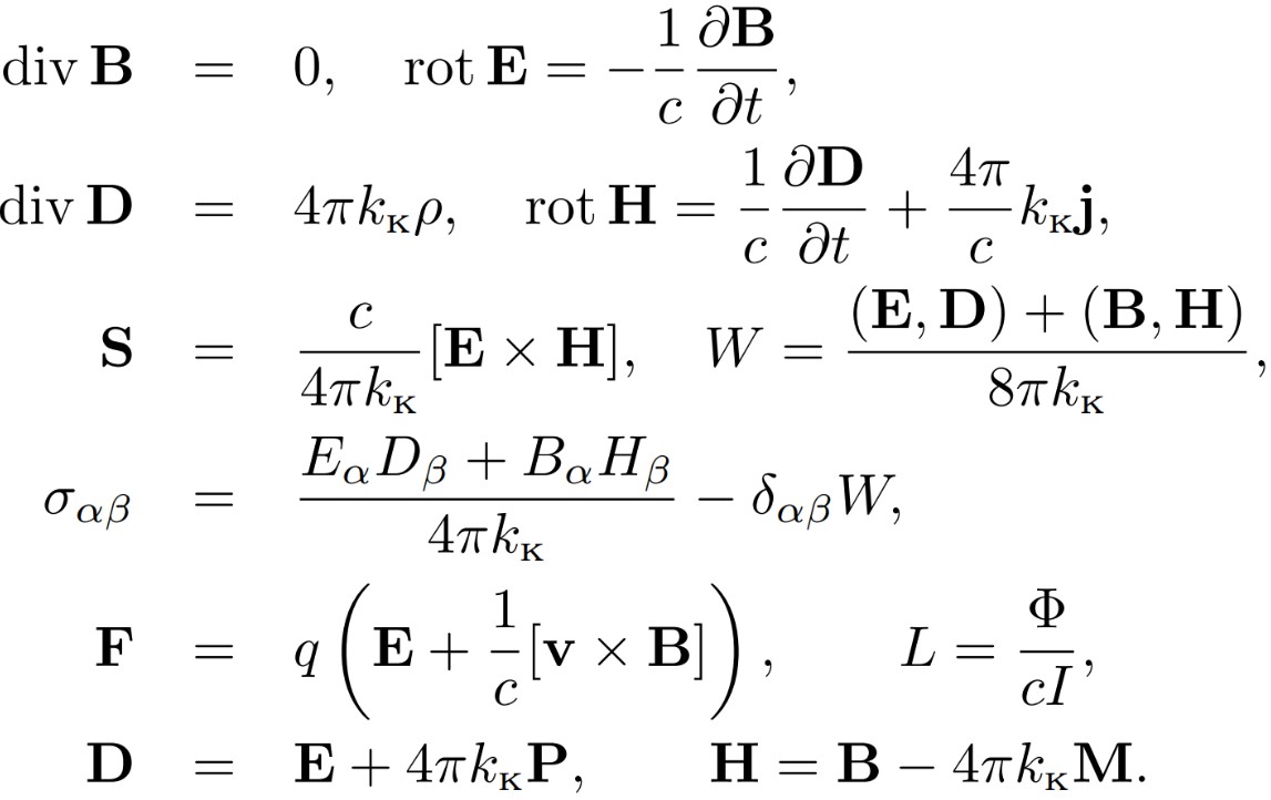
Авторы из МФТИ решили не создавать новую систему с нуля, а модифицировать существующую СИ, чтобы она вобрала в себя достоинства гауссовой. Их целью было разработать единый формализм, одинаково удобный и для описания электрических цепей, и для уравнений электромагнитного поля.
Исследователи сохранили все базовые единицы СИ — ампер, вольт, ом, фарад и генри, — чтобы не нарушать стандарты, принятые в технике и метрологии.
В ходе работы выяснилось, что схожая идея предлагалась ранее Геннадием Труновым, членом-корреспондентом Российской метрологической академии и доцентом Пермского государственного технического университета. Его вариант назывался теоретическая система электромагнитных единиц. Новый труд МФТИ развивает и уточняет этот подход.
Главное отличие ФТ-системы — в переопределении физических величин, описывающих электромагнитное поле. Векторы напряженности и индукции получили одинаковую размерность, благодаря чему уравнения Максвелла приобретают практически идентичную форму с гауссовыми.
Такой шаг делает систему одновременно симметричной и совместимой с практическими единицами СИ. Фактически, ФТ-система возвращает уравнениям теоретическую красоту, не требуя при этом ломки привычного языка измерений.

«Мы стремились создать систему, которая сохраняет удобство СИ, но позволяет записывать уравнения электродинамики в естественной и эстетически цельной форме. Переход от одной системы к другой теперь становится простым и интуитивно понятным», — поясняют авторы.
Практическая значимость новой системы прежде всего заключается в обучении. Использование ФТ-системы в университетских курсах по электродинамике и теоретической физике позволит устранить давнюю путаницу и дать студентам цельную, логически непротиворечивую картину.
Однако, чтобы система стала общепринятой, ее нужно не только предложить, но и внедрить в практику.
Сегодня уже издан учебник «Механика и теория поля», в котором полностью используется ФТ-система единиц. Он применяется на кафедре теоретической физики им. Л. Д. Ландау в МФТИ. Ранее, в 2015 году, при МФТИ было опубликовано учебное пособие «Подобие и размерность», где закладывались основы этого подхода.
«Когда в 2015 году на семинаре в ИОФАН меня спросили, написал ли я учебник, используя свою систему единиц, я ответил отрицательно. Теперь, десять лет спустя, наконец могу ответить положительно», — вспоминает Михаил Иванов, доцент кафедры теоретической физики МФТИ.
В более широком смысле эта работа открывает путь к унификации физических систем измерений — к созданию универсального языка, на котором можно одинаково естественно описывать как практические инженерные явления, так и фундаментальные процессы в квантовой физике и космологии.
ФТ-система единиц становится шагом к завершению полуторавекового спора — и к построению единого, непротиворечивого описания электричества и магнетизма, которое одинаково хорошо понимают и инженеры, и теоретики.
Источник: Физики предложили универсальный язык для мира электричества, чтобы завершить полуторавековой спор — За науку