Вода на камнях: раскрыт химический механизм астероидного реголита
Ученые из Института космических исследований РАН и МФТИ раскрыли химический механизм, объясняющий появление молекул воды на поверхностях астероидов. Подробные результаты теоретического анализа и физико-химического моделирования были представлены в журнале «Вестник Московского университета. Серия 3. Физика. Астрономия».
Астероиды долгое время считались безводными и стерильными объектами. Однако данные последних десятилетий, полученные как с помощью наземных обсерваторий, так и космических миссий, заставили ученых пересмотреть это представление. Оказалось, что даже на силикатных астероидах S-типа присутствует молекулярная вода в концентрациях, сопоставимых с теми, что находят на освещенных Солнцем участках Луны.
Возникает закономерный вопрос: откуда вода в этом холодном вакууме? Традиционная гипотеза о кометном заносе объясняет не всё, а попытки синтеза воды через прямое воздействие солнечного ветра пока не дают убедительных результатов.
Проблема в том, что поверхность астероида постоянно подвергается «космическому выветриванию». Потоки мелких метеоритов дробят породу в пыль — реголит, а ультрафиолетовое излучение и частицы солнечного ветра, в основном протоны, непрерывно атакуют эти песчинки.
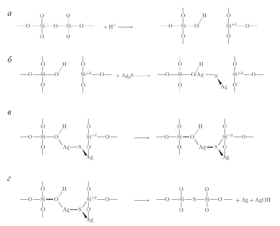
Теоретически протон солнечного ветра может внедриться в кристаллическую решетку силиката, например диоксида кремния, и соединиться с атомом кислорода, образуя гидроксильную группу OH. Но для появления полноценной молекулы воды требуется второй протон, который должен попасть в ту же точку одновременно. В условиях разреженного потока вероятность такого события ничтожно мала, что делает прямой синтез крайне маловероятным.

Ученые из ИКИ РАН и МФТИ решили подойти иначе, обратив внимание на минеральный состав реголита и опыт изучения лунного грунта. Они сосредоточились на возможности существования промежуточных химических соединений, которые могли бы «копить» водород и облегчать отделение кислорода от кремниевой решетки. Ключевым элементом в их модели стал сульфид серебра — минерал, обнаруженный в образцах Луны. Несмотря на редкость, микроскопические включения серебра в полевом шпате или кварце радикально меняют локальную химию.

Предложенный механизм развивается по нескольким этапам. Сначала протон солнечного ветра, ударяясь о поверхность астероида, проникает вглубь зерна реголита на ~100 нм. Там он разрывает связь между кремнием и кислородом в кварцевой решетке, образуя временную гидроксильную группу. В этот момент вступает сульфид серебра. Атомы серебра благодаря диффузии, ускоряемой солнечным нагревом, перемещаются к месту контакта кварца и сульфида. Серебро «перехватывает» гидроксильную группу у кремния, формируя гидроксид серебра.
Юлия Резниченко, младший научный сотрудник ИКИ РАН, прокомментировала: «Преимущество схемы в том, что не требуется одновременное попадание двух протонов — это практически невозможно. Гидроксид серебра служит долгоживущим хранилищем. Когда приходит следующий протон, он легко объединяется с гидроксильной группой, образуя молекулу воды, а самородное серебро остаётся в грунте».

Процесс происходит в тонком приповерхностном слое реголита — всего десятую долю микрона. Здесь создаются идеальные условия для взаимодействия минеральных фаз и обстрела протонами. Постоянное перемешивание грунта микрометеоритами позволяет за геологические периоды значительная часть реголита пройти через эту «химическую лабораторию». Расчеты показывают, что доля образующейся воды достигает около миллионной части массы реголита, что согласуется с наблюдениями за астероидами S-типа.
Новый подход объясняет, как вода может удерживаться на поверхности небесного тела, где она по законам физики должна мгновенно испаряться. Молекулы воды «заперты» внутри кристаллической матрицы или микропор между зернами, что позволяет им сохраняться даже под палящими солнечными лучами.
Присутствие воды фундаментально меняет свойства астероида и его взаимодействие со светом и плазмой. Солнечный свет выбивает электроны с поверхности, формируя облако заряженных частиц — плазменно-пылевую экзосферу. Наличие воды меняет работу выхода электрона, а значит, влияет на накопление электрического заряда и динамику парящих над поверхностью пылевых частиц.
Сергей Попель, профессор МФТИ и заведующий лабораторией ИКИ РАН, отметил: «Даже малое содержание воды ослабляет процессы фотоэффекта, а наблюдая за поведением пыли, можно косвенно оценить влажность реголита».
Для проверки теории авторы предлагают объединить два метода: оптические наблюдения за пылью вблизи поверхности астероидов и детектирование потоков нейтронов, проходящих через грунт. Нейтронное зондирование, уже успешно применяемое на Луне, чувствительно к водороду. Совпадение данных этих методов станет убедительным подтверждением «серебряного механизма».
Если вода синтезируется на астероидах под действием солнечного ветра, это расширяет список потенциально обитаемых миров и меняет представления о том, как вода попадала на молодую Землю. Ученые планируют изучить роль других металлов и их сульфидов в подобных процессах.
Источник: Как рождается вода на скалах астероидов — За науку